1 背景
随着科学技术的飞速发展,工业领域对交流伺服电机性能的要求不断提高。凭借高功率因数和快速动态响应,永磁同步电机(PMSM)已在现代伺服系统中得到广泛应用。其控制系统通常由位置环、速度环和电流环组成,其中电流环位于最内层,其性能直接决定速度环和位置环的控制效果。
磁场定向控制(Field-Oriented Control,FOC),又称矢量控制(Vector Control),是一种高性能并且广泛使用的永磁同步电机的控制方法。矢量控制基于伏-秒平衡(volt-second balance)原理,通过控制三相电压,在空间中精确合成任意幅值与角度的电压矢量,从而实现对电机电流(转矩)的精准控制。借助闭环控制器,可实现电机电流(转矩)、转速及位置的闭环调节,使电机运行更平稳、噪声更低、效率更高,并具备快速的动态响应特性。
矢量控制的核心思想是利用数学变换(Clarke与Park变换),将电机的三相定子电流由固定三相坐标系(abc)转换为与转子磁链方向对齐的旋转坐标系(d-q)。在d-q坐标系中,复杂的三相交流电流可分解为励磁电流Id和转矩电流Iq这两个直流分量。通过分别控制这两个分量,可独立调节电机的磁通与转矩。该策略使交流电机的控制逻辑类似于直流电机,从而显著降低整体控制复杂度。
本文通过仿真对电流环控制算法进行验证。
2 矢量控制原理
矢量控制的基础模型由坐标变换(Clarke、Park及其逆变换)、速度与电流控制器(如PI控制器)以及SVPWM生成等模块构成。
2.1 矢量控制框图
这是一个FOC控制框图,其控制流程如下:
- 对电机三相电流进行采样,得到Ia、Ib和Ic,并将其输入Clarke变换模块。
- 通过Clarke变换,将三相电流Ia、Ib和Ic转换为两相直角坐标系电流Iα和Iβ,并将结果输出至Park变换模块。
- 通过Park变换,将Iα和Iβ转换为旋转坐标系电流Id和Iq。计算Id和Iq与给定值Ref_Id和Ref_Iq的误差,并将误差输入PI控制器。
- PI控制器根据反馈误差计算出控制电压Ud和Uq,并将其输出至反Park变换模块。
- 然后通过反Park变换将Ud和Uq转换回静止直角坐标系电压Uα和Uβ,并将其输出至SVPWM模块。
- 通过SVPWM模块根据Uα和Uβ,生成PWM信号,用于控制三相逆变器MOS管开关,从而驱动电机。
- 循环上述步骤
2.2 永磁同步电机(PMSM)
永磁同步电机是一种以永磁体为转子的同步电机。

2.1 电机结构
![]()

如图所示,永磁同步电机的内部结构由转子和定子组成。定子绕组位于外圈,永磁体转子位于中央。定子绕组数量通常为永磁体极对数的三倍。例如,图中永磁体的极对数为1,对应的定子绕组数量为3。根据安培定律,当定子绕组通电时,会在绕组周围产生与电流方向相对应的磁场。例如,当a相定子绕组中有电流输入时,会在空间中产生指向a相方向的磁场。
2.2 电机旋转原理

如图所示,当电机定子绕组通入三相电流时,三相电流在空间中合成一个电流空间矢量,该矢量产生一个定子磁场Ψs,即最终合成的定子磁场。当Ψs与转子之间存在夹角时,定子磁场会拽着转子旋转。因此,当定子磁场Ψs旋转时,转子会在电磁力的作用下跟随定子磁场同步旋转。
同时,定子磁场Ψs可分解为两个方向的分量:
- Ψd(d轴分量):励磁分量。平行于转子磁场方向,主要用于建立磁链。为实现最大转矩输出,通常将Ψd控制为零,使定子磁场的合成方向完全用于转矩产生。
- Ψq(q轴分量):转矩分量。垂直于转子磁场方向,主要用于产生电磁转矩。
通过调节定子电流空间矢量,使励磁分量Ψd为0,使得定子磁场中只含有转矩分量,就能实现对电机转矩的直接控制。
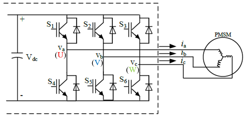
2.3 三相逆变器
永磁同步电机矢量控制系统中,功率电路一般采用的是三相两电平电压源型逆变器。逆变器左侧连接电容稳定直流母线电压,其右侧连接电机负载并为其提供控制电压。

逆变器的六个功率开关管S1-S6由PWM信号驱动。通过调节各MOS管的导通状态及占空比,可合成三相等效输出电压U、V、W。这三相电压在空间上叠加形成电压空间矢量,从而决定定子磁场的幅值与方向。
下图中U、V、W为三相电压。通过调整MOS管的导通状态和占空比,可改变U、V、W 的幅值,从而改变黑色箭矢所示的合成的电压空间矢量。
2.4 Clarke变换和Park变换及其反变换
在交流电机控制中,若直接在三相坐标系中处理定子三相电流,不仅计算复杂度高,而且难以实现精确控制。为简化控制过程,FOC算法引入了Clarke变换和Park变换。Clarke变换将三相坐标系中的三相电流转换为静止直角坐标系下的两相电流(α轴和β轴),以降低计算复杂度并简化后续处理。随后,Park变换进一步将静止坐标系的电流转换为旋转坐标系下的电流(d轴和q轴),实现励磁电流和转矩电流的独立控制。
2.4.1 Clarke变换及其反变换

如图所示,Ia、Ib、Ic 为三相坐标系下的电流大小。通过 Clarke 变换,可以将三相电流分解到静止直角坐标系(α-β)中,其变换公式为:

由于基尔霍夫电流定律Ia + Ib + Ic = 0,可进一步化简以上公式为:

为了进一步简化公式并保证变换时的幅值一致性,同时由于FOC可以当作一个线性系统,可以对等式右侧乘以2/3的系数,从而实现归一化。这样,最终的Clarke变换公式可以表达为:

通过对公式(2-3)的仿真,我们可以看到,在向Clarke变换输入三相电流后,变换前后的结果:


如图所示,由于等式右侧乘以了2/3的系数,变换前后的幅值保持相等。这种变换称为等幅值变换。
反Clarke变换用于将α-β坐标系中的电流分量Iα和Iβ转回到三相坐标系下,根据公式(2-3),并结合基尔霍夫电流定律,可以推导出反Clarke变换的公式如下:
2.4.2 Park变换及其反变换

如图所示,θ为转子当前的电角度,其中d轴(直轴)与转子磁场对齐,q轴(交轴)垂直于转子磁场。d-q坐标系会随着转子电角度θ的变化而旋转。Park变换将原本静止坐标系中的电流分量Iα和Iβ转换到旋转坐标系(d-q坐标系)下,Park变换公式为:

经过Park变换后,电流分量Id和Iq分别代表电机的磁通电流分量和转矩电流分量。因此,电机的磁通和转矩可以实现独立控制,其中Id控制电机的磁通,Iq控制电机的转矩。这样,可以对这两个电流分量进行独立控制。
反Park变换用于将电流环PI控制器输出的旋转坐标系(d-q)电压转换为静止坐标系(α-β)电压。

如图所示,Ud在α轴上的分量为Ud·cos(θ),Uq在α轴上的分量为-Uq·sin(θ);Ud在β轴上的分量为Ud·sin(θ),Uq在β轴上的分量为Uq·cos(θ)。因此,反Park变换公式为:
2.5 SVPWM原理
如下图所示为永磁同步电机的驱动电路。通过控制三相逆变器中MOS管的开关状态和占空比,可生成等效的三相电压。这三相电压在空间上合成为一个电压空间矢量,从而决定定子磁场的大小和方向。精确调节 MOS管的开关方式来控制这一合成的空间矢量,即为SVPWM(空间矢量脉宽调制)调制方法。

2.5.1 SVPWM八个基本矢量
在永磁同步电机的驱动电路中,三相逆变器的每个桥臂在任意时刻只能选择上桥臂或下桥臂导通,不能同时导通上下桥臂。显然,如果上下桥臂同时导通,会导致直流侧发生短路。因此,我们定义上桥臂MOS管闭合且下桥臂MOS管断开时,此时桥臂的开关状态为1;反之,上桥臂MOS管断开且下桥臂MOS管闭合时,桥臂的开关状态为0。根据这一规则,三相逆变器的桥臂开关状态共有八种:000、001、010、011、100、101、110、111。
接下来,我们以开关状态“100”为例,分析此时三相电压合成的空间矢量。

如图所示,N点为中性点(零点)。根据欧姆定律分压,可得a、b、c三相电压的幅值为:

Ua、Ub 、Uc为三相电压的幅值,根据平行四边形法则,可得到合成矢量U4(100)的幅值为Udc。

同理,可以根据不同的开关状态绘制出其他合成空间矢量。

如图所示,八种开关状态对应8种合成空间矢量。将这八种合成空间矢量从三相坐标系转换到静止直角坐标系后,类似于Clarke变换的等幅值变换,合成空间矢量的幅值将变为原来的2/3。

如图所示,八个合成空间矢量是SVPWM的基本矢量,其中六个非零矢量的幅值相同,相邻矢量之间的夹角为60°,幅值为(2/3)Udc。另外,两个零矢量的幅值为零,位于坐标平面的中心。六个非零矢量将空间划分为Ⅰ、Ⅱ、Ⅲ、Ⅳ、Ⅴ、Ⅵ六个扇区,每个扇区的角度为60°。
4.2 SVPWM扇区判断
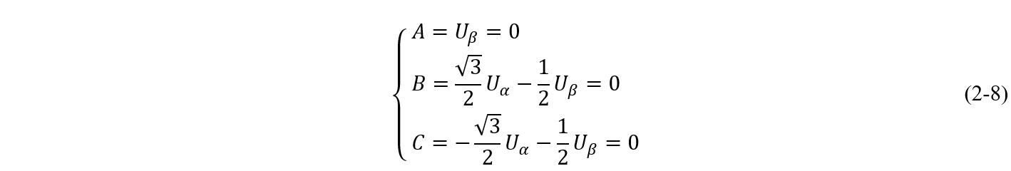
在 SVPWM 算法中,通过相邻的两个非零矢量和零矢量,并根据伏-秒平衡原则,可合成该扇区内任意的电压矢量。因此,SVPWM 算法的第一步是判断合成矢量所处的扇区。

如图所示,六个扇区由三条红线分割。这三条红线对应的函数表达式为:

因此,可以通过A、B、C相对于零的大小关系确定当前合成空间矢量所在的扇区。下表列出了每一扇区对应的A、B、C与零的关系:

Table 1
将 A、B、C 的值定义为:大于零时记为 1,小于零时记为 0,从而可用一个二进制值表示每个扇区。根据该规则,每个扇区对应一个十进制值 N,计算公式为 N = 4C + 2B + A。具体对应关系如下表所示:

Table 2
通过计算N值,可以快速判断当前合成空间矢量所在的扇区。
2.5.3 相邻矢量作用时长计算
合成任意矢量的操作基于伏-秒平衡原则,类似于PWM的脉宽调制思想,通过控制一个周期内开关的时间比例,可以实现不同电压的等效。这里SVPWM也是一样,通过在一个周期内,控制相邻基本矢量的作用时间(同一时间只能有一个基本矢量输出),并根据矢量的合成法则(即平行四边形法则),就可以实现不同方向的矢量的等效。
以扇区Ⅰ为例,当需要合成的电压空间矢量Us在α-β坐标系中的分量的大小分别为Uα和Uβ时,可通过伏-秒平衡原则计算出基本矢量U4和U6在一个时间周期T内的作用时间T4和T6。

如图所示,Ux和Uy分别表示基本矢量方向上Us等效矢量分量的大小。根据伏-秒平衡原则,其表达式为:

同时,通过正交分解,可以用Ux和Uy表示Uα和Uβ:

联立公式(2-9)和(2-10),可解得T4和T6的表达式:

按照同样的原理,可以计算出其他扇区相邻矢量的作用时长,结果如下:

Table 3
通过观察上述表达式可以发现,相邻矢量的作用时长由一个常量√3TUdc乘以后续变量得到,而这些变量的值在扇区判断时已经计算出。结合SVPWM扇区判断中的公式(2-8)和表3,可以进一步确定N值与基本矢量作用时长的关系:

Table 4
2.5.4 七段式SVPWM
在输出的PWM的一个周期内,包含四个基本矢量的作用时间:两个相邻的非零矢量和两个零矢量。这四个基本矢量对应着四种不同的开关状态。SVPWM通过逆变器MOS管的通断来改变这些开关状态。七段式SVPWM将一个周期划分为七段,使得每次切换仅有一对MOS管状态改变,从而降低器件损耗并延长寿命。
以扇区Ⅰ为例,扇区Ⅰ有四种开关状态:000、100、110和111。为了确保每次切换基本矢量时仅有一对MOS管状态发生切换,开关状态的切换顺序为:000 → 100 → 110 → 111 → 110 → 100 → 000,具体过程如图所示。

通过在合适的位置插入两个零矢量,并对零矢量时间均衡分配,使产生的PWM波形实现对称,从而有效降低PWM的谐波成分,同时也减少MOS管的功耗。
同理,以下是每个扇区的开关状态切换顺序:
|
扇区 |
切换顺序 |
三相波形图 |
|
Ⅰ |
U0(000) → U4(100) → U6(110) → U7(111) → U6(110) → U4(100) → U0(000) |
|
|
Ⅱ |
U0(000) → U2(010) → U6(110) → U7(111) → U6(110) → U2(010) → U0(000) |
|
|
Ⅲ |
U0(000) → U2(010) → U3(011) → U7(111) → U3(011) → U2(010) → U0(000) |
|
|
Ⅳ |
U0(000) → U1(001) → U3(011) → U7(111) → U3(011) → U1(001) → U0(000) |
|
|
Ⅴ |
U0(000) → U1(001) → U5(101) → U7(111) → U5(101) → U1(001) → U0(000) |
|
|
Ⅵ |
U0(000) → U4(100) → U5(101) → U7(111) → U5(101) → U4(100) → U0(000) |
|
Table 5
2.5.5 小结
SVPWM模块接收α/β坐标系下的控制电压Uα和Uβ。首先确定输出电压矢量所处扇区,然后计算该PWM周期内扇区内相邻两非零矢量的作用时间及零矢量的作用时间,最后按照对称七段式序列输出调制后的PWM信号至逆变器。
3 矢量控制仿真
3.1 仿真条件
1. 直流母线电压Udc = 310V。 2. PWM开关频率为20kHz。 3. 求解器采用变步长ode23tb算法。 4. 仿真运行时间为0.5s。
3.2 电机参数
|
参数名称 |
参数值 |
|
额定功率 |
400W |
|
额定电压 |
240V |
|
额定电流 |
2.81A |
|
额定转速 |
3000rpm |
|
额定力矩 |
1.27N.m |
|
力矩系数 |
0.4523N.m/A |
|
反电动势 |
27.37V/krpm |
|
转子惯量 |
0.4×10-4kg.m2 |
|
绕组电阻 |
1.97Ω |
|
绕组电感 |
5.43mH |
3.3 基本电流环模型
为评估电流环的跟踪性能,搭建了如图所示的仿真模型。电流环的q 轴电流给定值为正弦信号。
模型链接:https://github.com/Yong12315/PMSM_Current_Loop_Sim
3.3.1 电流频率200 Hz
q轴电流给定值:幅值1 A,频率200 Hz;d轴电流给定值:0 A。

如图所示,当给定电流频率为200 Hz时,反馈电流幅值几乎无衰减,相位仅滞后约7度。因此,在200 Hz条件下,反馈电流能够良好跟踪给定电流。
3.3.1 电流频率2000 Hz
q轴电流给定值:幅值1 A,频率2000 Hz;d轴电流给定值:0 A。

如图所示,当电流频率为2000 Hz 时,反馈电流幅值降至给定电流的0.84倍,相位滞后约45度。当反馈电流的幅值衰减至0.707倍或相位滞后达到45度时,对应频率即为电流环的带宽。因此,该电流环模型的带宽约为2000 Hz。
3.3 FOC模型
为验证矢量控制算法的有效性,搭建了如图所示的仿真模型。模型在电流环的基础上,外层增加速度环,速度给定值采用斜坡函数输入。
3.3.1 空载仿真
系统在空载条件下启动。速度环给定转速设置为一个斜率为15000的一次函数,给定转速在0.2s时升至电机的额定转速3000 rpm,并从该时刻以后一直保持额定转速运行。

如图所示,空载运行时电机实际转速与给定值吻合良好。0~0.2 s为匀加速阶段,0.2~0.5 s电机保持约3000 rpm的匀速运行。仿真结果表明,该模型的矢量控制算法运行正常,实际转速能够快速且准确地跟踪参考转速。

如图所示,电机达到额定转速后,电磁转矩稳定在约 0.16 N·m。

如图所示,当电机达到额定转速后,其电流达到稳定状态。因此说明该控制系统可以在空载时可以正常进行工作。
3.3.2 加负载仿真
系统在空载条件下启动,速度环给定转速与空载时一致。在t = 0.25 s时,将电机负载转矩由0 N.m阶跃至1.27 N.m。

仿真结果表明,负载突增后电机转速虽短暂下滑至2945 rpm,但在1.5 ms左右即恢复至3000 rpm,彰显系统较好的抗扰动能力。

如图所示,在0.25 s发生负载突增后,电磁转矩能在1 ms左右迅速增加至稳定值1.43 N·m。

如图所示,负载突增后电机三相电流迅速恢复稳定,表明该控制系统在加载后仍能正常工作。
3.3.2 减负载仿真
系统在1.27 N.m负载下启动,速度环给定转速与空载时相同。在t = 0.25 s时,将电机负载转矩由1.27 N.m阶跃降至0 N.m。

仿真结果表明,负载突降后电机转速虽短暂上升至3035rpm,但在1.5 ms左右即恢复至3000 rpm,彰显系统较好的抗扰动能力。

如图所示,负载突降后电磁转矩能够迅速恢复稳定。如图所示,在0.25 s发生负载突降后,电磁转矩能在1 ms左右迅速减小至稳定值0.16 N·m。
如图所示,负载突降后电机三相电流迅速恢复稳定,表明该控制系统在减载后仍能正常工作。






7 REFERENCE
Love From China~
文章评论